Pasar al contenido principal

Búsqueda de empleo y distribución de la riqueza en un modelo del mercado laboral

Búsqueda de empleo y distribución de la riqueza
Este es un trabajo de tesis de Maestría en Economía de la Universidad del Rosario, dirigida por el profesor Rafael Serrano, destacado por su calidad científica.

Por: Marcen Eduardo Laguna Santofimio

Cuando los trabajadores quedan desempleados, naturalmente comienzan la búsqueda de empleo. El esfuerzo dedicado a esta búsqueda depende de la salud económica de la región en la que residen, de la distribución de la riqueza entre los trabajadores, así como de sus preferencias, entre muchas otras circunstancias.

Por más simple que parezca, determinar la dinámica de este esfuerzo constituye un rompecabezas completo. Los modelos actuales predicen que los trabajadores desempleados, generalmente, suelen reducir su búsqueda de empleo con el tiempo, pero la motivación para hacerlo puede cambiar según la situación financiera individual. El lío está en que los resultados de esta búsqueda impactan tanto en los ingresos como en la acumulación de riqueza. Además, la riqueza y los ingresos tienen un efecto significativo en las decisiones de búsqueda, alterando el equilibrio óptimo entre el ingreso, esfuerzo y la probabilidad de encontrar trabajo. Esta dinámica entre la búsqueda de empleo y la situación financiera proporciona un importante mecanismo de autoseguro, afectando la distribución de la riqueza. Sin embargo, hasta ahora los economistas no han logrado aclararlo de manera unánime, véase, por ejemplo, Lentz y Tranaes (2005), Christensen et al. (2005), Lise (2013). Esto representa un problema, ya que las tasas de interés, los impuestos distorsionantes óptimos y los beneficios del desempleo también dependen de una comprensión precisa del comportamiento conjunto de estas variables.

Con el ánimo de contribuir a solucionar este rompecabezas, el estudio "Job search and distribution of wealth in a model of the labor market" busca comprender el comportamiento de la distribución de la riqueza de los agentes, así como sus decisiones en cuanto al ahorro, el esfuerzo de búsqueda laboral y el consumo (Laguna, 2023). El estudio presenta un modelo de equilibrio parcial de agentes heterogéneos, tanto en riqueza como en estatus laboral (empleados/desempleados), en tiempo continuo.

En 1993, Mark Huggett transformó nuestra comprensión de la macroeconomía al romper con la tradición del supuesto de agente representativo, supuesto para referirse a la existencia de un único tomador típico de decisiones de un cierto tipo.  Al igual que el paradigma de la equivalencia ricardiana o neutralidad del dinero, el supuesto de agente representativo no es una descripción fiel de la realidad, pero sirve como punto de referencia para entenderla. El gran cambio de Huggett es el considerar el rol de la distribución de la riqueza en el funcionamiento de la industria.

En este contexto, estudiar este rompecabezas de los trabajadores se complementa naturalmente al considerar la distribución de la riqueza. Esto adquiere una nueva dimensión porque se puede obtener analíticamente utilizando la Ecuación en Derivadas Parciales (EDP) de Kolmogorov, la cual describe la dinámica de la distribución de la variable de estado (la riqueza). Además, se debe resolver la ecuación de Hamilton-Jacobi-Bellman para la función de valor de los trabajadores. Resolver estas EDP resulta mucho más sencillo que resolver las ecuaciones de Bellman o de Chapman-Kolmogorov en tiempo discreto. Además, existe un amplio conocimiento sobre las EDP en ciencias naturales y matemáticas aplicadas.

Funcionamiento del modelo

Los trabajadores son adversos al riesgo y obtienen utilidad del consumo y desutilidad de la búsqueda de empleo cuando están desempleados. Los mercados son incompletos porque los trabajadores no pueden intercambiar un conjunto completo de derechos contingentes por consumo. Los trabajadores pueden autoasegurarse contra la pérdida de ingresos ahorrando y pidiendo prestado a un tipo de interés constante sin riesgo r > 0. El tiempo es continuo y no existe incertidumbre agregada. Dentro del mercado laboral, los trabajadores son homogéneos en términos de productividad y enfrentan fricciones para obtener un nuevo trabajo. Los trabajadores son idénticos a priori, pero difieren a posteriori debido a las distintas trayectorias laborales, y de riqueza.

La Figura 1 muestra la dependencia de las decisiones de consumo y ahorro con respecto al beneficio de desempleo (b). Como era de esperar, las prestaciones por desempleo pueden ayudar a mantener el nivel de consumo de los trabajadores desempleados, ya que el consumo óptimo tanto de los desempleados como de los empleados aumenta con b. Además, el desahorro de los desempleados aumenta con las prestaciones, mientras que el ahorro por precaución de los trabajadores ocupados disminuye con b. Note que en esta economía los agentes se pueden endeudar.

Figura 1. Funciones políticas y función de valor

Figura 1. Funciones políticas y función de valor

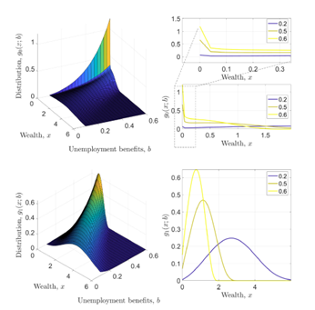
En la Figura 2 se representan las densidades g0 y g1 de la distribución de la riqueza de los desempleados y los trabajadores empleados y la dependencia de los cambios en la distribución estacionaria de la riqueza de la elasticidad de emparejamiento del desempleo y el beneficio de desempleo. Se observa que las fricciones de búsqueda y la tasa de sustitución producen cambios significativos en la distribución de la riqueza. En particular, a medida que aumenta b, también lo hace la concentración de desempleados en el límite de la deuda.

Figura 2. Dependencia de las distribuciones de riqueza de la elasticidad de matching al desempleo λ ∈ [0, 1], y beneficio de desempleo b​

Figura 2. Dependencia de las distribuciones de riqueza de la elasticidad de matching al desempleo λ [0, 1], y beneficio de desempleo b

Aprendizajes

En este artículo se examina el impacto de las fricciones en el mercado laboral y de las prestaciones por desempleo en las decisiones de búsqueda y ahorro en un modelo de acumulación de riqueza. Se demuestra que el esfuerzo de búsqueda de los trabajadores desempleados disminuye con la riqueza, lo que arroja luz sobre el rompecabezas, bajo ciertos supuestos, porque resuelve el rol de la riqueza de los trabajadores en las decisiones de búsqueda, es decir, resuelve una de las implicaciones. Además, se prueba que su tasa de ahorro es siempre negativa, lo que conduce a que su riqueza se dirija hacia el límite de endeudamiento. La única forma de evitar esto es aumentar la búsqueda de empleo. Por el contrario, los trabajadores con empleo pueden ahorrar y enriquecerse si su riqueza es lo suficientemente pequeña.

Referencias

Huggett, M. (1993). The risk-free rate in heterogeneous-agent incomplete-insurance economies. Journal of economic Dynamics and Control, 17(5-6):953–969.

Christensen, B. J., Lentz, R., Mortensen, D. T., Neumann, G. R., and Werwatz, A. (2005). On-the-job search and the wage distribution. Journal of Labor Economics, 23(1):31–58.

Laguna, Marcen (2023). Job search and distribution of wealth in a model of the labor market. Tesis de Maestría, Universidad del Rosario. https://doi.org/10.48713/10336_40227

Lentz, R. and Tranaes, T. (2005). Job search and savings: Wealth effects and duration dependence. Journal of labor Economics, 23(3):467–489.

Lise, J. (2013). On-the-job search and precautionary savings. Review of economic studies, 80(3):1086–1113.